04 Απρ Ο αριθμός των αλλοδαπών αθλητών στη Volleyleague
Ο αριθμός των ξένων στο πρωτάθλημα της Volleyleague ανδρών και οι επιπτώσεις του, διαχρονικά αποτελούν αντικείμενο προβληματισμού για το παρόν και το μέλλον του Ελληνικού βόλεϊ και των Εθνικών μας ομάδων. Το παραπάνω θέμα επανήλθε πρόσφατα στην επικαιρότητα με την γνωμοδότηση του Διδακτικού Επιστημονικού Προσωπικού (ΔΕΠ) των Σχολών Επιστήμης Φυσικής Αγωγής και Αθλητισμού (Σ.Ε.Φ.Α.Α) έπειτα από σχετικό αίτημα του ΠΑΣΑΠ.
Ο Σύλλογος Φίλων Ελληνικών Εθνικών Ομάδων Πετοσφαίρισης σας παρουσιάζει από σήμερα την μελέτη και τις προτάσεις της Πανεπιστημιακής Κοινότητας με γνωστικό αντικείμενο την Πετοσφαίριση για τη συμμετοχή των ξένων αθλητών στη Volleyleague, ευελπιστώντας ότι με τη δημοσίευση θα συμβάλουμε ως Σύλλογος στην ενημέρωση των φορέων και των φίλων του αθλήματος. Η μελέτη αποτελείται από τρία μέρη, με το πρώτο να δημοσιεύεται σήμερα.
Η απάντηση των μελών του ΔΕΠ των ΣΕΦΑΑ προς τον ΠΑΣΑΠ
Σε απάντηση της από 22-12-2022 επιστολής του Πανελλήνιου Συνδέσμου Αμειβομένων Πετοσφαιριστών/τριών (ΠΑ.Σ.Α.Π) με θέμα «Γνωμοδότηση για τον αριθμό αλλοδαπών αθλητών στη Volleyleague ανδρών» τα μέλη Διδακτικού Επιστημονικού Προσωπικού (Δ.Ε.Π) των Σχολών Επιστήμης Φυσικής Αγωγής και Αθλητισμού (Σ.Ε.Φ.Α.Α) του Εθνικού Καποδιστριακού Πανεπιστημίου Αθηνών (Ε.Κ.Π.Α), του Αριστοτελείου Πανεπιστημίου Θεσσαλονίκης (Α.Π.Θ) και του Δημοκριτείου Πανεπιστημίου Θράκης (Δ.Π.Θ) με γνωστικό αντικείμενο συναφές με την Προπονητική της Πετοσφαίρισης, αφού προχώρησαν σε μελέτη του θέματος, προέβησαν στην από κοινού κατάθεση τεκμηριωμένων απόψεων αναφορικά με την αναγκαιότητα του εγχειρήματος αλλά και τη μακροπρόθεσμη επίδραση που μπορεί να έχει στην Πετοσφαίριση. Επιπλέον, με κριτήριο την αξιοποίηση του αθλητικού δυναμικού της χώρας αλλά και τη δημιουργία κατάλληλου περιβάλλοντος ανάδειξής του, προχώρησαν στην αδρή παρουσίαση ορισμένων εκ των διεθνώς αποδεκτών απόψεων σε τρία (3) τμήματα:
Α) οργανωτικό,
Β) προπονητικό
Γ) οικονομοτεχνικό.
Η μελέτη θα φιλοξενηθεί σε τρία (3) μέρη στην ιστοσελίδα του Σ.Φ.Ε.Ε.Ο.Π. (https://www.hellasvolley.gr/). Η παρούσα δημοσίευση αφορά το τμήμα Α, Οργανωτικό.
Τα μέλη Δ.Ε.Π. των Σ.Ε.Φ.Α.Α. της χώρας με γνωστικό αντικείμενο σχετικό με την Πετοσφαίριση (κατά βαθμίδα, αρχαιότητα).
Ελένη Ζέτου Καθηγήτρια Τ.Ε.Φ.Α.Α/Δ.Π.Θ
Σοφία Παπαδοπούλου Καθηγήτρια Σ.Ε.Φ.Α.Α/Α.Π.Θ
Καρολίνα Μπαρζούκα Αναπληρώτρια Καθηγήτρια Σ.Ε.Φ.Α.Α/Ε.Κ.Π.Α
Γεώργιος Γιάτσης Αναπληρωτής Καθηγητής Σ.Ε.Φ.Α.Α/Α.Π.Θ
Κωνσταντίνος Σωτηρόπουλος Επίκουρος Καθηγητής Σ.Ε.Φ.Α.Α/Ε.Κ.Π.Α
Σωτήριος Δρίκος Επίκουρος Καθηγητής Σ.Ε.Φ.Α.Α/Ε.Κ.Π.Α
Βασίλειος Μανασής, Ε.Ε.Π, Σ.Ε.Φ.Α.Α/Ε.Κ.Π.Α
Τυπικές παραδοχές και πραγματικότητα για τον αριθμό των αλλοδαπών αθλητών στη Volleyleague
Σχετικά με τον αριθμό των αλλοδαπών αθλητών που έχουν δικαίωμα συμμετοχής σε ένα επαγγελματικό πρωτάθλημα ή μία επαγγελματική λίγκα, όπως η Volleyleague, έχουν καθιερωθεί στη συνείδηση παραγόντων και φιλάθλων κάποιες παραδοχές που είτε δεν είναι πλήρεις, είτε είναι ανεδαφικές.
Σκοπός του κειμένου που ακολουθεί είναι παραθέσει τεκμηριωμένα στοιχεία και δημοσιευμένα δεδομένα, με τα οποία οι παραδοχές είτε θα αναιρεθούν, είτε θα επαναδιατυπωθούν.
Για όλα τα στοιχεία που αναφέρονται υπάρχουν υπερσύνδεσμοι στο διαδίκτυο καθώς και η σχετική επιστημονική βιβλιογραφία. Στο τέλος του κειμένου παρατίθενται και προτάσεις σχετικά τον αριθμό των αλλοδαπών αθλητών στη Volleyleague.
1η παραδοχή
Οι αλλοδαποί αθλητές είναι πολύ υψηλού επιπέδου.
Προκειμένου να αποφεύγονται παρανοήσεις και παρερμηνείες για θέματα αθλητικού επιπέδου είναι απαραίτητο να υπάρξουν κριτήρια διαχωρισμού των αθλητών πολύ υψηλού επιπέδου από άλλους αθλητές (1).
Τα κριτήρια της συμμετοχής σε Ολυμπιακούς αγώνες (ΟΑ) και σε παγκόσμια πρωταθλήματα (ΠΠ) έχουν χρησιμοποιηθεί σε πολλές ερευνητικές εργασίες προκειμένου να εντοπίσουν ή να διαχωρίσουν το υψηλό αθλητικό επίπεδο των αθλητών πετοσφαίρισης (2–5).
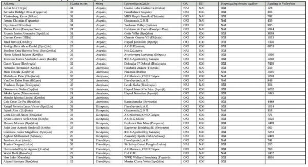
Από τους 37 αλλοδαπούς της Volleyleague 2022-23, 3 αθλητές έχουν αγωνιστεί σε ΟΑ, 13 αθλητές σε WC και 9 αθλητές είναι ενεργά μέλη των εθνικών ομάδων, ενώ ο μέσος όρος (Μ.Ο.) ηλικίας όλων των αλλοδαπών αθλητών είναι 30,9 έτη).
Για την κατάταξη των αθλητών στη διεθνή αγορά αθλητών (6) χρησιμοποιήθηκε η άτυπη, αλλά με ποσοτικά κριτήρια (θέση των ομάδων τους σε διοργανώσεις, προσωπικές διακρίσεις), καταρτισμένη λίστα αθλητών της διαδικτυακής πλατφόρμας https://volleybox.net/players/ranking/2022.
Στη λίστα περιλαμβάνονται 15.547 αθλητές διαφόρων εθνικοτήτων. Οι αλλοδαποί αθλητές της Volleyleague 2022-23 σε σύνολο 15.547 αθλητών έχουν ως υψηλότερη κατάταξη τη θέση 178 και ως χαμηλότερη τη θέση 7.469, ενώ υπάρχουν και 3 αθλητές που δεν βρίσκονται στη λίστα. Η διάμεση τιμή (ο μεσαίος αριθμός όταν οι αριθμοί παρατίθενται κατά σειρά από το μικρότερο στο μεγαλύτερο) για την κατάταξη των αθλητών είναι 1.180.
Από το συνδυασμό των στοιχείων (συμμετοχή των αθλητών σε μεγάλες διοργανώσεις, ενεργοί αθλητές εθνικών ομάδων, ατομικές διακρίσεις αθλητών και θέση στην παγκόσμια αγορά), δεν προκύπτει η ενδυνάμωση των ομάδων με αθλητές πολύ υψηλού επιπέδου.

2η παραδοχή
Στα υπόλοιπα πρωταθλήματα, εκτός του βόλεϊ, δεν υπάρχουν περιορισμοί για αλλοδαπούς αθλητές ή έχουν μεγάλο αριθμό συμμετεχόντων αλλοδαπών αθλητών και οι Εθνικές ομάδες είναι σε υψηλό επίπεδο.
Αναλυτικά οι περιορισμοί και κατάταξη των αντίστοιχων Εθνικών ομάδων στην Ευρωπαϊκή ή Παγκόσμια λίστα στα υπόλοιπα ομαδικά αθλήματα είναι:
Ποδόσφαιρο: απεριόριστος αριθμός αλλοδαπών (Θέση στην UEFA ranking list: 28, στοιχεία εδώ)
Καλαθοσφαίριση: 7 αλλοδαποί με δικαίωμα συμμετοχής 6 ανά παιχνίδι (εδώ, σελ. 54). Θέση στη FIBA ranking list: 9, FIBA Europe: 6 (εδώ)
Χειροσφαίριση: απεριόριστος αριθμός αλλοδαπών (Θέση στην EHF list: 26, εδώ)
Υδατοσφαίριση: 2 αλλοδαποί αθλητές (εδώ, σελ. 6). Θέση στην FINA World ranking list: 1, εδώ).
Από τα παραπάνω προκύπτει ότι περιορισμοί υπάρχουν σε 2 από τα 4 εθνικά πρωταθλήματα ομαδικών αθλημάτων (καλαθοσφαίριση, υδατοσφαίριση). Στα 2 αθλήματα που υπάρχουν περιορισμοί η κατάταξη των εθνικών ομάδων σε Ευρωπαϊκό επίπεδο είναι υψηλότερη από την πετοσφαίριση (θέση στη CEV ranking list: 19, εδώ), ενώ στα αθλήματα που δεν υπάρχουν περιορισμοί η κατάταξη είναι χαμηλότερη από την πετοσφαίριση (Ποδόσφαιρο 28, Χειροσφαίριση 26).
Τα ομαδικά αθλήματα έχουν διαφορετικές ανάγκες ως προς τον αριθμό των αλλοδαπών αθλητών με δικαίωμα συμμετοχής. Κύριες αιτίες διαφοροποίησης είναι ο αριθμός των επαγγελματικών κατηγοριών στη χώρα, η αγωνιστική εξειδίκευση των αθλητών και ο αριθμός των ομάδων στο πρωτάθλημα.
Παράγοντας διαφοροποίησης των ομαδικών αθλημάτων είναι ο αριθμός των επαγγελματικών κατηγοριών στη χώρα. Προκειμένου να υπάρξει γόνιμος χώρος για την ανάπτυξη γηγενών αθλητικών ταλέντων σε κάθε άθλημα είναι σημαντική η ύπαρξη και άλλων επαγγελματικών κατηγοριών. Στο ποδόσφαιρο, παρότι στην ανώτερη κατηγορία οι αλλοδαποί αθλητές αποτελούν το 54% του συνόλου των αθλητών (εδώ), θεωρητικά υπάρχει χώρος ανάπτυξης ταλαντούχων αθλητών στις άλλες επαγγελματικές κατηγορίες, εκτός Superleague.
Επιπλέον παράγοντας διαφοροποίησης των ομαδικών αθλημάτων, σε σχέση με τον αριθμό των αλλοδαπών αθλητών είναι η αγωνιστική εξειδίκευση των αθλητών. Στα ομαδικά παιχνίδια (ποδόσφαιρο, καλαθοσφαίριση, χειροσφαίριση, πετοσφαίριση), στο υψηλό αγωνιστικό επίπεδο είναι δεδομένη η εξειδίκευση των αθλητών αφού εκτελούν συγκεκριμένες κινητικές και τεχνικές δεξιότητες σύμφωνες με τον αγωνιστικό ρόλο που τους ανατίθεται. Εντούτοις, δεν είναι αυστηρός ο διαχωρισμός των ειδικεύσεων των αθλητών, στα ομαδικά παιχνίδια εισβολής (7) (ποδόσφαιρο, καλαθοσφαίριση, χειροσφαίριση). Αυτό συμβαίνει λόγω της φύσης των παιχνιδιών (έλεγχος και κατοχή της μπάλας, κίνηση με τη μπάλα, εναλλαγές θέσεων μεταξύ παικτών) και της απαραίτητης εναλλαγής των αγωνιστικών ρόλων, καθώς οι δεξιότητες που εκτελούν οι παίκτες επικαλύπτονται τόσο στην καλαθοσφαίριση (8) όσο και στο ποδόσφαιρο (9).
Αντίθετα στην πετοσφαίριση κάθε αγωνιστικός ρόλος έχει συγκεκριμένα χαρακτηριστικά και δεν υπάρχει επικάλυψη μεταξύ των αγωνιστικών ρόλων (10). Επιπλέον η σύνθεση των ομάδων υψηλού επιπέδου έχει συγκεκριμένη δομή και κάθε ομάδα αποτελείται από συγκεκριμένους αγωνιστικούς ρόλους σε συγκεκριμένο αριθμό αθλητών ανά ρόλο (2 ακραίοι επιθετικοί, 2 κεντρικοί επιθετικοί, 1 πασαδόρος, 1 διαγώνιος του πασαδόρου, 1 λίμπερο) (11).
Επομένως, έχει ενδιαφέρον η καταγραφή των αγωνιστικών ρόλων που καλύπτουν οι αλλοδαποί αθλητές και ο χώρος που υπάρχει να τους καλύψουν οι Έλληνες αθλητές. Σχετικά με τους αγωνιστικούς ρόλους των 37 αλλοδαπών αθλητών για την αγωνιστική περίοδο 2022-23 (μέχρι και ΔΕΚ 2022) μοιράζονται όπως παρακάτω:
Πασαδόροι: 6
Ακραίοι: 14
Κεντρικοί: 8
Διαγώνιοι: 9
Λίμπερο: 0
Λαμβάνοντας υπόψη τη φύση της πετοσφαίρισης, που είναι διαφορετική από τα παιχνίδια εισβολής (ποδόσφαιρο, καλαθοσφαίριση, υδατοσφαίριση, χειροσφαίριση), που η δυνατότητα αλλαγών κατά τη διάρκεια των αγώνων, άρα και συμμετοχής στην αγωνιστική δραστηριότητα είναι διαφορετική, τον αριθμό των ομάδων της Volleyleague (10 ομάδες για την περίοδο 2022-23) και τη δεδομένη αγωνιστική σύνθεση των ομάδων βόλεϊ υψηλού επιπέδου (1 πασαδόρος-2 κεντρικοί- 2 ακραίοι-1 διαγώνιος του πασαδόρου -1 λίμπερο) οι προσφερόμενες θέσεις σε ομάδες της Volleyleague για αθλητές που έχουν δικαίωμα συμμετοχής στην Εθνική ομάδα Ανδρών είναι όπως παρακάτω:
Πασαδόροι: 4
Ακραίοι: 6
Κεντρικοί: 12
Διαγώνιοι: 1
Λίμπερο: 10
Επομένως οι διαθέσιμοι αθλητές για την Εθνική ομάδα που θα έχουν ουσιαστικές αγωνιστικές εμπειρίες στη Volleyleague 2022-23 είναι μόλις 33. Από αυτούς οι 22 αθλητές (67%) αφορούν 2 από τις 5 αγωνιστικές θέσεις (κεντρικοί επιθετικοί, λίμπερο). Είναι σαφές ότι στις θέσεις πασαδόρων, ακραίων επιθετικών και διαγώνιων το έμψυχο υλικό που έχει ουσιαστικό χρόνο συμμετοχής στη Volleyleague είναι περιορισμένο.
Αξιοποιώντας δεδομένα αγωνιστικής απόδοσης που παρουσιάστηκαν σε επιστημονική εργασία (12) και είναι διαθέσιμα σε τυχούσα απαίτηση, σχετικά με την αγωνιστική περίοδο 2016-17 εντοπίστηκαν τα παρακάτω στοιχεία:
- Συμμετείχαν σε όλο το πρωτάθλημα 50 αλλοδαποί αθλητές και 130 Έλληνες αθλητές.
- Πραγματοποιήθηκαν και αξιολογήθηκαν 103.293 δεξιότητες της Πετοσφαίρισης (Σερβίς, υποδοχή σερβίς, επίθεση, μπλοκ, πάσα για επίθεση). Από το σύνολο των δεξιοτήτων οι 50 αλλοδαποί αθλητές πραγματοποίησαν 44.647 ενέργειες (43.22%) και οι 130 Έλληνες αθλητές646 ενέργειες (56,78%). Όπως παρουσιάζεται στο Γράφημα 1 το 28% του συνόλου των αθλητών (Αλλοδαποί) πραγματοποιεί το 43% των ενεργειών, ενώ το 72% του συνόλου των αθλητών (Έλληνες) πραγματοποιεί το 57% ενεργειών.
- Λαμβάνοντας υπόψη την εθνικότητα των αθλητών οι Αλλοδαποί αθλητές πραγματοποίησαν κατά Μ.Ο. 893 ενέργειες ενώ οι Έλληνες αθλητές 451 ενέργειες κατ’ άτομο.
- Στους Πίνακας 1 και Πίνακας 2 παρουσιάζεται ο Μ.Ο. των επαφών ανά τεχνική δεξιότητα της Πετοσφαίρισης.

Πίνακας 2. Μέσος όρος επαφών ανά δεξιότητα της πετοσφαίρισης επί του συνόλου των αθλητών

Οι τεχνικές δεξιότητες της πετοσφαίρισης χωρίζονται σε 2 κατηγορίες: Στις δεξιότητες πόντου (scoring skills) που είναι το σερβίς, η επίθεση και το μπλοκ και στις δεξιότητες μεταβίβασης (non scoring skills) που είναι η υποδοχή του σερβίς, η πάσα για επίθεση και η άμυνα (13). Η αγωνιστική απόδοση στις δεξιότητες πόντου χαρακτηρίζει την αθλητική επιτυχία στην πετοσφαίριση (νίκη-ήττα σε αγωνιστικό επεισόδιο, σετ, αγώνα, διοργάνωση) και το διαχωρισμό των αθλητών υψηλού επιπέδου.
Επιπλέον εξετάζοντας τους αθλητές των ομάδων με τη μεγαλύτερη συμμετοχή (βασικοί αθλητές: αθλητές αρχικής επτάδας και πρώτοι αναπληρωματικοί) ανά αγωνιστική ειδίκευση, επιλέγοντας ανά ειδίκευση τους αθλητές με το μεγαλύτερο πλήθος ενεργειών και ακολουθώντας τον τυπικό σχηματισμό μίας ομάδας με ενεργούς αθλητές (3 ακραίοι επιθετικοί- 3 κεντρικοί επιθετικοί- 2 διαγώνιοι του πασαδόρου- 2 πασαδόροι – 1 λίμπερο), ο αριθμός των αθλητών ήταν 45 Αλλοδαποί και 86 Έλληνες. Η συμμετοχή των αθλητών στις τεχνικές δεξιότητες παρουσιάζεται στον Πίνακας 3 και στο Γράφημα 3.
Πίνακας 3. Μέσος όρος επαφών ανά δεξιότητα της πετοσφαίρισης επί του συνόλου των βασικών αθλητών

Η συμμετοχή των Ελλήνων αθλητών στις δεξιότητες πόντου (scoring skills) της πετοσφαίρισης (σερβίς, επίθεση, μπλοκ) υπολείπεται της αντίστοιχης των αλλοδαπών, παρότι οι γηγενείς αθλητές είναι διπλάσιοι σε πληθυσμό (86 έναντι 45). Σύμφωνα με πληθώρα ερευνητικών εργασιών η επίθεση είναι η σημαντικότερη δεξιότητα στην πετοσφαίριση (4,14–17). Στην επίθεση η συμμετοχή των Ελλήνων παικτών στο σύνολο των αγωνιζομένων είναι 23% και στο σύνολο των παικτών με τη μεγαλύτερη συμμετοχή είναι 26%. Μόνο στη δεξιότητα της πάσας και εξετάζοντας τους αθλητές των ομάδων με τη μεγαλύτερη συμμετοχή υπερτερούν οι ¨Έλληνες αθλητές. Αυτό οφείλεται ότι στο συγκεκριμένο πρωτάθλημα (2016-17) αγωνίστηκαν περισσότεροι Έλληνες πασαδόροι παρά αλλοδαποί. Η αναλογία των πασαδόρων έχει αντιστραφεί για την περίοδο 2022-23.

Χαρακτηρίζοντας τη συμμετοχή των Ελλήνων αθλητών σε κάθε τεχνική δεξιότητα φαίνεται ότι στο πρωτάθλημα 2016-17 οι Έλληνες αθλητές είχαν μεγαλύτερη συμμετοχή στις δεξιότητες μεταβίβασης (non scoring skills – υποδοχή σερβίς, πάσα για επίθεση) παρά στις δεξιότητες πόντου (σερβίς, επίθεση, μπλοκ).
Το αγωνιστικό περιβάλλον που δημιουργείται λόγω του αριθμού των αλλοδαπών αθλητών και των ιδιαιτεροτήτων της πετοσφαίρισης δεν βοηθά τους γηγενείς αθλητές να καλλιεργήσουν τις δεξιότητες πόντου που είναι σημαντικές για την ατομική τους βελτίωση και για την άνοδο του επιπέδου των Εθνικών ομάδων και στη συνέχεια του αθλήματος. Στη Volleyleague oι γηγενείς αθλητές είναι ποσοτικά λίγοι και με περιορισμένο αγωνιστικό ρόλο.
Τέλος, κρίσιμος παράγοντας για τον καθορισμό του αριθμού των αλλοδαπών αθλητών είναι ο αριθμός των ομάδων που συμμετέχουν στο πρωτάθλημα. Με βάση την τυπική σύνθεση των ομάδων (επτάδα) και τη λογική παραδοχή ότι οι αλλοδαποί καλύπτουν θέσεις βασικού παίκτη με το σημερινό καθεστώς (4 αλλοδαποί, άρα 3 Έλληνες αθλητές για κάθε ομάδα), οι διαθέσιμοι θέσεις για Έλληνες αθλητές ανάλογα με το αριθμό των ομάδων είναι: για 8 ομάδες-24 αθλητές, για 9 ομ.-27 αθλ., για 10 ομ.-30 αθλ., …, για 12 ομ.-36 αθλ.
Την αγωνιστική περίοδο 2022-23 το 90% των ομάδων (9 στις 10) κάλυψαν όλες τις διαθέσιμες θέσεις (4) αλλοδαπών αθλητών. Με βάση την παραδοχή, ότι όλες οι ομάδες θα καλύπτουν τις διαθέσιμες θέσεις αλλοδαπών αθλητών αν οι διαθέσιμες θέσεις αλλοδαπών αθλητών γίνουν 5, τότε για να υπάρχει η δυνατότητα 30 θέσεων για Έλληνες αθλητές οι ομάδες πρέπει να είναι 15(!). Επομένως, σε πιθανή περαιτέρω αύξηση του αριθμού των αλλοδαπών αθλητών, για να διατηρηθεί ο αριθμός των διαθέσιμων θέσεων για Έλληνες αθλητές, πρέπει να υπάρξει μεγάλη αύξηση των ομάδων στη Volleyleague.
Πίνακας 4. Διαθέσιμες θέσεις Ελλήνων αθλητών ανάλογα με τον αριθμό των ομάδων και τον αριθμό των αλλοδαπών αθλητών.

3η παραδοχή
Στις Ευρωπαϊκές διοργανώσεις οι Ελληνικές ομάδες αντιμετωπίζουν αντίστοιχες του εξωτερικού που δεν έχουν περιορισμούς συμμετοχής σε αλλοδαπούς και ημεδαπούς αθλητές.
Οι χώρες ITA, POL, RUS, TUR, CZE, FRA, SLO που είναι στις πρώτες θέσεις της κατάταξης συλλόγων της CEV (https://webmedia.cev.eu/media/ub2hc5mb/2024-slots-allocation-final.pdf) έχουν περιορισμούς συμμετοχής αλλοδαπών αθλητών στα πρωταθλήματά τους.
Από τις 18 χώρες που είναι σε υψηλότερη θέση από την Ελλάδα στην κατάταξη της CEV Εθνικών ομάδων οι 15 έχουν περιορισμούς στον αριθμό των αλλοδαπών αθλητών (https://www.cev.eu/national-team/rankings/).
4η παραδοχή
Οι ομάδες μετέχουν σταθερά στις Ευρωπαϊκές διοργανώσεις προσδίδοντας κύρος στην Ελληνική Πετοσφαίριση και στο Πρωτάθλημα.
Σχετικά με την προτεινόμενη παραδοχή παρατίθεται η λίστα συμμετοχών των ομάδων της Volleyleague στον Πίνακας 5 και το σχετικό Γράφημα 4. Να σημειωθεί ότι σε όλο το αναφερόμενο χρονικό διάστημα (>2011) οι ελληνικές ομάδες είχαν δικαίωμα 4 Αλλοδαπών αθλητών.
Τα τελευταία 6 έτη (>2017) μόνο τις περιόδους 2022 και 2023 συμμετείχαν 4 ομάδες στις Ευρωπαϊκές διοργανώσεις. Εξάλλου, εξαιτίας και του περιορισμένου αριθμού συμμετοχών μετά το 2017 η Ελλάδα κατατάσσεται στη σχετική λίστα κατάταξης της CEV στη 18η θέση (με δικαίωμα συμμετοχής μίας ομάδας στον προκριματικό γύρο του Champions League) και στη 17η θέση με δικαίωμα συμμετοχής μίας ομάδας στο CEV Cup και δύο ομάδων στο Challenge Cup (https://webmedia.cev.eu/media/qjqhknxb/2023-slots-allocation-final_updates.pdf). Παρόμοια κατάταξη και θέσεις συμμετοχής υπάρχουν και για την αγωνιστική περίοδο 2023-24 (https://webmedia.cev.eu/media/ub2hc5mb/2024-slots-allocation-final.pdf).
Πίνακας 5. Συμμετοχές Ελληνικών ομάδων στις Ευρωπαϊκές διοργανώσεις


Συμπεράσματα
Από τα δεδομένα δεν προκύπτει η ενδυνάμωση των ομάδων με αθλητές πολύ υψηλού επιπέδου.
Στα αθλήματα που υπάρχουν περιορισμοί (καλαθοσφαίριση, υδατοσφαίριση) στους αλλοδαπούς αθλητές η κατάταξη των εθνικών ομάδων σε Ευρωπαϊκό επίπεδο είναι υψηλότερη από την πετοσφαίριση (θέση στη CEV ranking list: 19, εδώ), ενώ στα αθλήματα που δεν υπάρχουν περιορισμοί η κατάταξη είναι χαμηλότερη από την πετοσφαίριση (ποδόσφαιρο 28, χειροσφαίριση 26).
Στις θέσεις πασαδόρων, ακραίων επιθετικών και διαγώνιων το έμψυχο υλικό που έχει ουσιαστικό χρόνο συμμετοχής στη Volleyleague είναι περιορισμένο.
Το αγωνιστικό περιβάλλον που δημιουργείται λόγω του αριθμού των αλλοδαπών αθλητών και των ιδιαιτεροτήτων της πετοσφαίρισης δεν βοηθά τους γηγενείς αθλητές να καλλιεργήσουν τις δεξιότητες πόντου που είναι σημαντικές για την ατομική τους βελτίωση και για την άνοδο του επιπέδου των Εθνικών ομάδων και στη συνέχεια του αθλήματος. Στη Volleyleague oι γηγενείς αθλητές είναι ποσοτικά λίγοι και με περιορισμένο αγωνιστικό ρόλο.
Σε πιθανή περαιτέρω αύξηση του αριθμού των αλλοδαπών αθλητών, για να διατηρηθεί ο αριθμός των διαθέσιμων θέσεων για Έλληνες αθλητές, πρέπει να υπάρξει μεγάλη αύξηση των ομάδων στη Volleyleague.
Από τις 18 χώρες που είναι σε υψηλότερη θέση από την Ελλάδα στην κατάταξη της CEV Εθνικών ομάδων οι 15 έχουν περιορισμούς στον αριθμό των αλλοδαπών αθλητών.
Τα τελευταία 6 έτη (>2017) μόνο τις περιόδους 2022 και 2023 συμμετείχαν 4 ομάδες στις Ευρωπαϊκές διοργανώσεις.
Προτάσεις
Το άνοιγμα των συνόρων και η ελεύθερη μετακίνηση αθλητών έχει αποδυναμώσει τον εθνικό χαρακτήρα πολλών πρωταθλημάτων ανά τον κόσμο. Αυτό είναι ένα φαινόμενο που πρέπει να απασχολήσει τους υπευθύνους των ομοσπονδιών, τους ιδιοκτήτες των ομάδων, τους προπονητές, τους δημοσιογράφους και τους φιλάθλους. Το φαινόμενο αυτό θα πρέπει να μετρηθεί, να καταγραφεί, να αναλυθούν οι συνέπειες που έχει ανά άθλημα και στη συνέχεια να ληφθούν αποφάσεις. Να σταματήσει να είναι ο αριθμός των ξένων αθλητών σημείο διαπραγμάτευσης και ευκαιριακών ισορροπιών μεταξύ φορέων του αθλήματος (Ε.Σ.Α.Π., ΠΑ.Σ.Α.Π., Ε.Ο.ΠΕ., Υπουργείο) αλλά να συσχετιστεί με μεταβλητές και δεδομένα, έτσι ώστε και οι ομάδες να έχουν τη δυνατότητα να επενδύσουν σε επαγγελματικό περιβάλλον, αλλά και το επαγγελματικό περιβάλλον να βοηθά τους γηγενείς αθλητές να επιλέξουν μία επαγγελματική καριέρα.
Η αλλοίωση της φυσιογνωμίας των πρωταθλημάτων θα επηρεάσει άμεσα την ταυτότητα των αθλημάτων της κάθε χώρας, με ρωγμές όχι μόνο στον «καθρέπτη» των εθνικών ομάδων, αλλά και στην παραγωγική διαδικασία, κόβοντας τον ομφάλιο λώρο που πρέπει να δίνει ζωή στα αθλήματα με την ανάδειξη της επόμενης γενιάς ταλαντούχων αθλητών.
H Volleyleague και τα σωματεία που την απαρτίζουν έχουν οικονομικό συμφέρον να στηρίξουν τη δημιουργία νέων αθλητών γιατί αυτό ακριβώς θα αυξήσει την προσφορά αθλητικών ταλέντων και θα ικανοποιήσει τη ζήτηση.
Οι αθλητές να διαχωρισθούν σε δύο κατηγορίες: αθλητές με δικαίωμα συμμετοχής στις Ελληνικές Εθνικές ομάδες και αθλητές χωρίς δικαίωμα συμμετοχής στις Ελληνικές Εθνικές ομάδες (με υποκατηγορίες: αθλητές από χώρες ΕΕ, αθλητές χωρών εκτός ΕΕ).
Ο αριθμός των αλλοδαπών αθλητών που θα έχουν δικαίωμα ταυτόχρονης αγωνιστικής παρουσίας στον αγωνιστικό χώρο θα μπορούσε να καθορίζεται από τους παρακάτω παράγοντες (εντός της παρένθεσης περιγράφεται η σχέση κάθε παράγοντα με τον αριθμό αλλοδαπών αθλητών). Ο συντελεστής βαρύτητας των προτεινόμενων παραγόντων μπορεί να αποτελέσει αντικείμενο μελέτης και διαβούλευσης.
- Θέση της Εθνικής ομάδας στην κατάταξη της CEV (https://www.cev.eu/national-team/rankings/). Αντίρροπη σχέση με τον αριθμό αλλοδαπών αθλητών (υψηλότερη θέση, λιγότεροι αλλοδαποί αθλητές)
- Θέση των Ελληνικών Ομάδων στην κατάταξη των Ευρωπαϊκών Συλλόγων για
Champions League και άλλες ευρωπαϊκές διοργανώσεις (https://webmedia.cev.eu/media/ub2hc5mb/2024-slots-allocation-final.pdf). Ομόρροπη σχέση με τον αριθμό αλλοδαπών αθλητών (υψηλότερη θέση, περισσότεροι αλλοδαποί αθλητές)
- Θέση της Εθνικής ομάδας αναπτυξιακών ηλικιών στην κατάταξη της CEV. Αντίρροπη σχέση με τον αριθμό αλλοδαπών αθλητών (υψηλότερη θέση, λιγότεροι αλλοδαποί αθλητές)
- Αριθμός αιτήσεων ITC (International Transfer Certificate) Ελλήνων αθλητών κάθε έτος. Ομόρροπη σχέση με τον αριθμό αλλοδαπών αθλητών (αιτήσεις ITC πάνω από όριο, περισσότεροι αλλοδαποί αθλητές)
- Ο αριθμός των ομάδων στο πρωτάθλημα. Ομόρροπη σχέση με τον αριθμό αλλοδαπών αθλητών (αύξηση αριθμού ομάδων, περισσότεροι αλλοδαποί αθλητές)
Επιπλέον, για να δοθούν κίνητρα συμμετοχής στις ομάδες της Volleyleague στις Ευρωπαϊκές διοργάνωσες, μπορεί να συνδεθεί η μη συμμετοχή σε Ευρωπαϊκή διοργάνωση, με περιορισμό του δικαιώματος ταυτόχρονης αγωνιστικής παρουσίας αλλοδαπών αθλητών στον αγωνιστικό χώρο. Ομάδα που αρνείται να πάρει μέρος ή αποχωρεί αφού δηλώσει συμμετοχή σε Ευρωπαϊκή διοργάνωση (συμπεριλαμβάνεται και το Βαλκανικό κύπελλο), να έχει -1 αλλοδαπό αθλητή δικαίωμα ταυτόχρονης αγωνιστικής παρουσίας στον αγωνιστικό χώρο, για την επόμενη χρονιά.
Βιβλιογραφία
- Lorenz DS, Reiman MP, Lehecka BJ, Naylor A. What Performance Characteristics Determine Elite Versus Nonelite Athletes in the Same Sport? Sports Health. 2013 Nov;5(6):542.
- Hughes M, Daniel R. Playing patterns of elite and non-elite volleyball. International Journal of Performance Analysis in Sport. 2003;3(1):50–6.
- Monteiro Teixeira D, Del Fraro J, Soares F, Reeberg Stanganelli LC, Simões Pires‐Neto C, Petroski EL. Características antropométricas em atletas de elite das seleções brasileiras juvenil e adulta de voleibol. Revista Andaluza de Medicina del Deporte. 2016 Dec 1;9(4):160–5.
- García-de-Alcaraz A, Marcelino R. Influence of match quality on men’s volleyball performance at different competition levels. International Journal of Performance Analysis in Sport. 2017;17(4):394–405.
- Drikos S, Ntzoufras I, Apostolidis N. Bayesian Analysis of Skills Importance in World Champions Men’s Volleyball across Ages. International Journal of Computer Science in Sport. 2019 Jul 1;18(1):24–44.
- Peeters T. Testing the Wisdom of Crowds in the field: Transfermarkt valuations and international soccer results. International Journal of Forecasting. 2018 Jan 1;34(1):17–29.
- Reed B, Edwards P. Teaching children to play Games. Leeds: White Line Publishing; 1992.
- Rangel W, Ugrinowitsch C, Lamas L. Basketball players’ versatility: Assessing the diversity of tactical roles. International Journal of Sports Science & Coaching. 2019 Aug 6;14(4):552–61.
- Altmann S, Forcher L, Ruf L, Beavan A, Groß T, Lussi P, et al. Match-related physical performance in professional soccer: Position or player specific? PLOS ONE. 2021 Sep 1;16(9):e0256695.
- Marcelino R, Afonso J, Moraes JC, Mesquita IMR. Determinants of attack players in high-level men’s volleyball. Kinesiology. 2014;46(2):234–41.
- Millán-Sánchez A, Rabago MJC, Álvare-Hernández M, Femia P, Ureña A. Participation in terminal actions according to the role of the player and his location on the court in top-level men’s volleyball. International Journal of Performance Analysis in Sport. 2015;15(2):608–19.
- Ntzoufras I, Palaskas V, Drikos S. Bayesian models for prediction of the set-difference in volleyball. IMA Journal of Management Mathematics. 2021;2.
- Oliveira AOGF, Teixeira Vaz LM, Pastore JC, João PV. Discriminate scoring skills and non-scoring skills according to results in the Brazilian men’s volleyball superleague. Montenegrin Journal of Sports Science and Medicine. 2018;7(1):73–9.
- Alcaraz AG de, Valadés D, Palao JM. Evolution of game demands from young to elite players in men’s volleyball. International Journal of Sports Physiology and Performance. 2017 Jul 1;12(6):788–95.
- Laporta L, Afonso J, Mesquita IMR. Interaction network analysis of the six game complexes in high-level volleyball through the use of Eigenvector Centrality. PLoS ONE. 2018;13(9):e0203348.
- Otávio Gouvêa Ferreira Oliveira A, Valladares N, Miguel Teixeira Vaz L, Vicente João P. Evaluation of Scoring Skills and Non Scoring Skills in the Brazilian SuperLeague Women’s Volleyball. Vol. 5, J. Sports Sci. Med. 2016.
- Stutzig N, Zimmermann B, Büsch D, Siebert T. Analysis of game variables to predict scoring and performance levels in elite men’s volleyball. International Journal of Performance Analysis in Sport. 2015;15(3):816–29.